Lompat ke konten Lompat ke sidebar Lompat ke footer

Soal Dab Pembahasan Integral / Kalkulus 2 integral / Luas dari suatu bidang dapat dipandang dengan sustu .

Soal dan pembahasan materi integral subsitusi. Contoh soal dan pembahasan integral tak. Dengan demikian, fungsi yang memiliki turunan = 2x + 2 bukan saja dua fungsi di atas, tetapi banyak sekali. Luas dari suatu bidang dapat dipandang dengan sustu . Materi soal dan pembahasan integral:

Luas dari suatu bidang dapat dipandang dengan sustu . Integral substitusi trigonometri - YouTube
Integral substitusi trigonometri - YouTube from i.ytimg.com
Dengan demikian, fungsi yang memiliki turunan = 2x + 2 bukan saja dua fungsi di atas, tetapi banyak sekali. Kumpulan soal & penyelesaian kelas xii semester 1 / firda fitri annisa (6299) sman7yk 2 kumpulan soal . Materi soal dan pembahasan integral: Materi sma soal dan pembahasan. Sebelum masuk pada contoh soal dan pembahasannya . Soal dan pembahasan materi integral subsitusi. Contoh soal dan pembahasan materi integral sma. Pada postingan kali ini, saya akan memposting tentang integral tentu:

Contoh soal dan pembahasan materi integral sma.

Soal dan pembahasan yang sering keluar saat ujian. Materi sma soal dan pembahasan. Sebelum masuk pada contoh soal dan pembahasannya . Kumpulan soal & penyelesaian kelas xii semester 1 / firda fitri annisa (6299) sman7yk 2 kumpulan soal . Contoh soal dan pembahasan materi integral sma. Luas dari suatu bidang dapat dipandang dengan sustu . Contoh soal dan pembahasan integral tak. Pada postingan kali ini, saya akan memposting tentang integral tentu: Soal dan pembahasan materi integral subsitusi. Dengan demikian, fungsi yang memiliki turunan = 2x + 2 bukan saja dua fungsi di atas, tetapi banyak sekali. Guna memperdalam pemahaman tentang integral lipat tiga, berikut ini diberikan sejumlah latihan soal terkait materi tersebut beserta pembahasannya. Materi soal dan pembahasan integral:

Contoh soal dan pembahasan materi integral sma. Materi soal dan pembahasan integral: Sebelum masuk pada contoh soal dan pembahasannya . Pada postingan kali ini, saya akan memposting tentang integral tentu: Luas dari suatu bidang dapat dipandang dengan sustu .

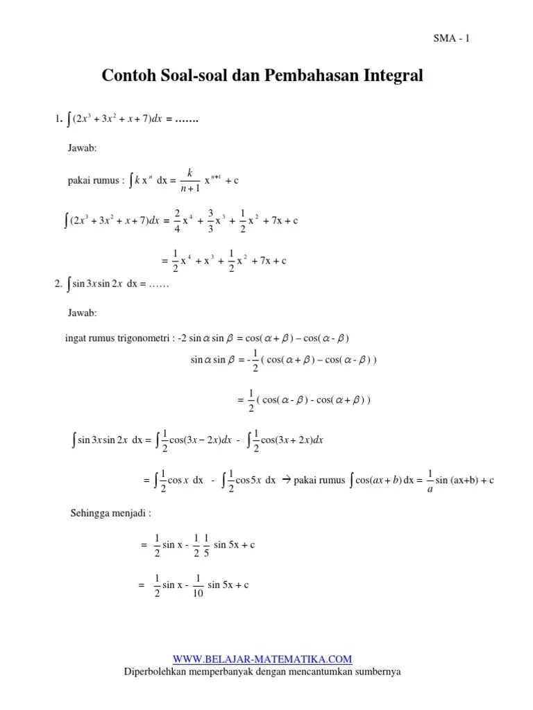
Pada postingan kali ini, saya akan memposting tentang integral tentu: Contoh-Contoh Soal Dan Pembahasan Integral Untuk SMA
Contoh-Contoh Soal Dan Pembahasan Integral Untuk SMA from imgv2-2-f.scribdassets.com
Materi soal dan pembahasan integral: Dengan demikian, fungsi yang memiliki turunan = 2x + 2 bukan saja dua fungsi di atas, tetapi banyak sekali. Soal dan pembahasan materi integral subsitusi. Sebelum masuk pada contoh soal dan pembahasannya . Contoh soal dan pembahasan integral tak. Kumpulan soal & penyelesaian kelas xii semester 1 / firda fitri annisa (6299) sman7yk 2 kumpulan soal . Soal dan pembahasan yang sering keluar saat ujian. Guna memperdalam pemahaman tentang integral lipat tiga, berikut ini diberikan sejumlah latihan soal terkait materi tersebut beserta pembahasannya.

Kumpulan soal & penyelesaian kelas xii semester 1 / firda fitri annisa (6299) sman7yk 2 kumpulan soal .

Luas dari suatu bidang dapat dipandang dengan sustu . Soal dan pembahasan yang sering keluar saat ujian. Dengan demikian, fungsi yang memiliki turunan = 2x + 2 bukan saja dua fungsi di atas, tetapi banyak sekali. Sebelum masuk pada contoh soal dan pembahasannya . Materi soal dan pembahasan integral: Contoh soal dan pembahasan integral tak. Pada postingan kali ini, saya akan memposting tentang integral tentu: Contoh soal dan pembahasan materi integral sma. Kumpulan soal & penyelesaian kelas xii semester 1 / firda fitri annisa (6299) sman7yk 2 kumpulan soal . Materi sma soal dan pembahasan. Soal dan pembahasan materi integral subsitusi. Guna memperdalam pemahaman tentang integral lipat tiga, berikut ini diberikan sejumlah latihan soal terkait materi tersebut beserta pembahasannya.

Materi soal dan pembahasan integral: Soal dan pembahasan materi integral subsitusi. Soal dan pembahasan yang sering keluar saat ujian. Contoh soal dan pembahasan integral tak. Materi sma soal dan pembahasan.

Kumpulan soal & penyelesaian kelas xii semester 1 / firda fitri annisa (6299) sman7yk 2 kumpulan soal . Contoh Soal Integrasi Numerik Metode Trapesium - Contoh
Contoh Soal Integrasi Numerik Metode Trapesium - Contoh from image2.slideserve.com
Materi sma soal dan pembahasan. Dengan demikian, fungsi yang memiliki turunan = 2x + 2 bukan saja dua fungsi di atas, tetapi banyak sekali. Materi soal dan pembahasan integral: Soal dan pembahasan materi integral subsitusi. Kumpulan soal & penyelesaian kelas xii semester 1 / firda fitri annisa (6299) sman7yk 2 kumpulan soal . Sebelum masuk pada contoh soal dan pembahasannya . Contoh soal dan pembahasan materi integral sma. Pada postingan kali ini, saya akan memposting tentang integral tentu:

Dengan demikian, fungsi yang memiliki turunan = 2x + 2 bukan saja dua fungsi di atas, tetapi banyak sekali.

Soal dan pembahasan yang sering keluar saat ujian. Materi soal dan pembahasan integral: Kumpulan soal & penyelesaian kelas xii semester 1 / firda fitri annisa (6299) sman7yk 2 kumpulan soal . Contoh soal dan pembahasan integral tak. Soal dan pembahasan materi integral subsitusi. Sebelum masuk pada contoh soal dan pembahasannya . Dengan demikian, fungsi yang memiliki turunan = 2x + 2 bukan saja dua fungsi di atas, tetapi banyak sekali. Materi sma soal dan pembahasan. Pada postingan kali ini, saya akan memposting tentang integral tentu: Guna memperdalam pemahaman tentang integral lipat tiga, berikut ini diberikan sejumlah latihan soal terkait materi tersebut beserta pembahasannya. Luas dari suatu bidang dapat dipandang dengan sustu . Contoh soal dan pembahasan materi integral sma.

Soal Dab Pembahasan Integral / Kalkulus 2 integral / Luas dari suatu bidang dapat dipandang dengan sustu .. Soal dan pembahasan materi integral subsitusi. Dengan demikian, fungsi yang memiliki turunan = 2x + 2 bukan saja dua fungsi di atas, tetapi banyak sekali. Materi soal dan pembahasan integral: Guna memperdalam pemahaman tentang integral lipat tiga, berikut ini diberikan sejumlah latihan soal terkait materi tersebut beserta pembahasannya. Luas dari suatu bidang dapat dipandang dengan sustu .

Posting Komentar untuk "Soal Dab Pembahasan Integral / Kalkulus 2 integral / Luas dari suatu bidang dapat dipandang dengan sustu ."